| Vorheriges Thema anzeigen :: Nächstes Thema anzeigen |
| Autor |
Nachricht |
noumenon RC-Enthusiast


Anmeldedatum: 02.11.2003 Beiträge: 2159
|
Verfasst am: 03.02.2005, 18:22 Titel: Sammelthread: Karosserie-Höhe/Breite/Radstand Mini-Z/X-Mod/I |
|
|
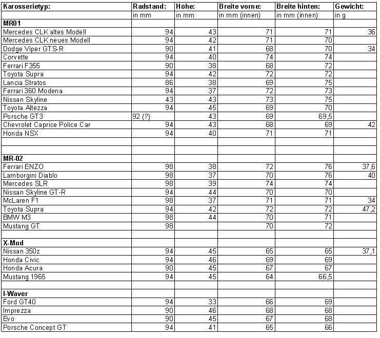
Moin,
also ich hab immerwieder das Problem die richtige Karosse für meine Chassie zu finden. Das Zusammensuchen aus dem forum und Inder-nett ist auch recht mühsam..
Daher hoff ich mal, daß die Admins diesen thread als sinnvoll erachten und Ihr alle fleißig mitmacht?
Ich nehme hier selbst gemessene Maße! Die Höhe bezieht sich auf eine flach aufgelegte Karosse bis zur Dachkante:
Ich werd diese Tabelle immer aktualisieren wenn nötig, dann kann sich die Tabelle jeder auch runterladen...
Gruß
Mike _________________ *g*...I am evil Mikey... |
|
| Nach oben |
|
 |
Sinned RC-Veteran


Anmeldedatum: 31.12.2002 Beiträge: 5346 Wohnort: Wolfsburg
|
Verfasst am: 03.02.2005, 18:58 Titel: Re: Sammelthread: Karosserie-Höhe/Breite/Radstand Mini-Z/X-M |
|
|
Danke noumenon....
Genau diesen Thread habe ich mir gewünscht!
|
|
| Nach oben |
|
 |
Foschi RC-Enthusiast


Anmeldedatum: 17.12.2003 Beiträge: 2368
|
Verfasst am: 03.02.2005, 19:16 Titel: Re: Sammelthread: Karosserie-Höhe/Breite/Radstand Mini-Z/X-M |
|
|
Du solltest vielleicht noch eine Unterteilung nach MR01/MR02 machen.
Ansonsten finde ich die Idee gut.
_________________ www.dreirad-werbung.de |
|
| Nach oben |
|
 |
janniz RC-Fan


Anmeldedatum: 09.06.2003 Beiträge: 1547
|
Verfasst am: 03.02.2005, 19:21 Titel: Re: Sammelthread: Karosserie-Höhe/Breite/Radstand Mini-Z/X-M |
|
|
Wo genau misst Du den "Breite innen"? In den Radkästen oder davor/dahinter? Weil ich beim Enzo auf leicht andere Werte komme...
Mal schnell gemessen, solange die Pizza im Ofen ist:
Supra (MR01 Version):
Höhe: 42
Br. v.: 72
Br. h.: 72
Radst.: 94
Calsonic Skyline (MR01 Version):
Höhe: 43
Br. v.: 73
Br. h.: 75
Radst.: 94
MB SLR:
Höhe: 39
Br. v.: 74
Br. h.: 74
Radst.: 98
Lancia Stratos
Höhe: 38
Br. v.: 69
Br. h.: 75
Radst.: 86 (!)
GT 40
Br. v. 66
Br. h. 69
Jetzt erst mal essen... _________________ PROTECT ME FROM WHAT I WANT |
|
| Nach oben |
|
 |
many moles RC-Fan

Anmeldedatum: 04.09.2003 Beiträge: 310
|
Verfasst am: 03.02.2005, 19:57 Titel: Re: Sammelthread: Karosserie-Höhe/Breite/Radstand Mini-Z/X-M |
|
|
Ferrari 360 'Modena' (MR01):
Radstand: 94
Breite (vorn): 72
Breite (hinten): 73
Höhe: 37
C5R haste ja schon
many moles
Edit: Eventuell sollte man noch den Offset (max.) mit aufnehmen, obwohl der sich ja aus der Breite errechnen lässt. Dann hat man jedoch alle Infos zusammen in einer Tabelle
Das ewige Rumsuchen nach Infos nervt schon etwas... _________________ Ist es nicht eigenartig, wie das Wort eigenartig,
es als geradezu fremdartig hinstellt, seine eigene Art zu haben.
Zuletzt bearbeitet von many moles am 03.02.2005, 20:05, insgesamt einmal bearbeitet |
|
| Nach oben |
|
 |
spidey RC-Fan


Anmeldedatum: 11.12.2003 Beiträge: 421
|
Verfasst am: 03.02.2005, 20:07 Titel: Re: Sammelthread: Karosserie-Höhe/Breite/Radstand Mini-Z/X-M |
|
|
2x "Mercedes CLK altes Modell" in der Liste ? Wiso ?
_________________ Ich möchte im Schlaf sterben, wie mein Opa und nicht jammernd und wimmernd wie sein Beifahrer !
Zuletzt bearbeitet von spidey am 03.02.2005, 20:08, insgesamt einmal bearbeitet |
|
| Nach oben |
|
 |
smartmix RC-Fan

Anmeldedatum: 23.10.2003 Beiträge: 788
|
Verfasst am: 03.02.2005, 20:11 Titel: Re: Sammelthread: Karosserie-Höhe/Breite/Radstand Mini-Z/X-M |
|
|
Wieso haben die beiden CLKs (altes Modell) unterschiedliche Werte?
Kyosho - Iwaver ?
Edit: Oops, zu langsam getippt.
Zuletzt bearbeitet von smartmix am 03.02.2005, 20:11, insgesamt einmal bearbeitet |
|
| Nach oben |
|
 |
XtSI .


Anmeldedatum: 06.01.2005 Beiträge: 78
|
Verfasst am: 03.02.2005, 20:55 Titel: Re: Sammelthread: Karosserie-Höhe/Breite/Radstand Mini-Z/X-M |
|
|
IWaver IW02 Impreza
Radstand: 90 mm
Höhe: 46 mm
Breite vorne: 68 mm
Breite hinten: 68 mm |
|
| Nach oben |
|
 |
züchopat RC-Fan


Anmeldedatum: 26.03.2003 Beiträge: 823
|
Verfasst am: 03.02.2005, 22:25 Titel: Re: Sammelthread: Karosserie-Höhe/Breite/Radstand Mini-Z/X-M |
|
|
Nissan Skyline Gtr
Radstand: 94mm
Höhe: 44mm
Breite vorne: 70mm
Breite hinten : 70mm
Toyota Altezza
Radstand: 94mm
Höhe: 45mm
Breite vorne: 69mm
Breite hinten: 70mm
Porsche Gt3
Radstand: 92mm
Höhe: 43mm
Breite vorne: 69mm
Breite hinten: 69,5mm
Porsche Concept GT
Radstand: 94mm
Höhe: 41mm
Breite vorne: 65mm
Breite hinten: 66mm
Honda Civic XMods
Radstand: 94mm
Höhe: 46mm
Breite vorne: 69mm
Breite hinten: 69mm
Die Breiten sind jeweils an den Außenkanten der Radhäuser gemessen!!
|
|
| Nach oben |
|
 |
noumenon RC-Enthusiast


Anmeldedatum: 02.11.2003 Beiträge: 2159
|
Verfasst am: 03.02.2005, 23:10 Titel: Re: Sammelthread: Karosserie-Höhe/Breite/Radstand Mini-Z/X-M |
|
|
fein...
mit dem CLK das hat Excel vermehrt ;O)
bezüglich Breite messen: meistens ist innen eine Kante, hinter der die Räder verschwinden könnten...bis dahin messe ich!
Wer gerne dremelt kann sich bei einer durchschnittlichen Materialdicke von 1,5 bis 2mm ausrechnen was an Offset möglich wäre..ich leg meine Car's aber gerne tief und mag es nicht wenn die Räder dann die Karo berühren...daher immer Innenmaß!
Gruß
Mike _________________ *g*...I am evil Mikey...
Zuletzt bearbeitet von noumenon am 03.02.2005, 23:25, insgesamt einmal bearbeitet |
|
| Nach oben |
|
 |
mightydevil .


Anmeldedatum: 18.11.2004 Beiträge: 63
|
Verfasst am: 03.02.2005, 23:28 Titel: Re: Sammelthread: Karosserie-Höhe/Breite/Radstand Mini-Z/X-M |
|
|
Quote:
Calsonic Skyline (MR01 Version):
Höhe: 43
Br. v.: 73
Br. h.: 75
Radst.: 94
Das gilt natürlich auch für den Xanavi Skyline (MR01)
Aber die Karo passt auch so ohne weiters umbauen auf den MR02-RM.
Also müssten die aktuellen Skyline-Versionen so ziemlich die selben Maße haben |
|
| Nach oben |
|
 |
ulie RC-Fan


Anmeldedatum: 03.06.2004 Beiträge: 1482
|
Verfasst am: 04.02.2005, 00:10 Titel: Re: Sammelthread: Karosserie-Höhe/Breite/Radstand Mini-Z/X-M |
|
|
McLaren F1 ist aber eine MR02 Karosserie  _________________  |
|
| Nach oben |
|
 |
noumenon RC-Enthusiast


Anmeldedatum: 02.11.2003 Beiträge: 2159
|
Verfasst am: 05.02.2005, 10:51 Titel: Re: Sammelthread: Karosserie-Höhe/Breite/Radstand Mini-Z/X-M |
|
|
hast recht...Änderung kommt mit dem nächsten "update"
Wie schauts aus? Sind die anderen zu faul mal eben zu messen? Sind doch noch lange nicht alle dabei...BMW M3, 350z..um nur mal die letzten beiden hier vorgestellten Car#s zu nennen *g*
Gruß
Mike _________________ *g*...I am evil Mikey... |
|
| Nach oben |
|
 |
cooldragon RC-Enthusiast


Anmeldedatum: 22.01.2004 Beiträge: 4892
|
Verfasst am: 05.02.2005, 14:46 Titel: Re: Sammelthread: Karosserie-Höhe/Breite/Radstand Mini-Z/X-M |
|
|
meine Zettibodies hast du schon alle vermessen
aber...
Xmods Acura:
Höhe: 45 (mit Bodikit Wild)
Br. v.: 67
Br. h.: 67
Radst.: 90
Gewicht: 49,5 (mit Bodykit + Licht)
Xmods Mustang 1965:
Höhe: 45 (mit Bodikit)
Br. v.: 64
Br. h.: 66,5
Radst.: 94
Gewicht: 41,5g
MR01 Viper 32,5g
MR02 Supra 47,2g
MR02 Enzo 37,6g
Xmods 350Z wiegt bei mir 37,1, trotz Bodykits (?)
cd _________________ Business Casperle in Ausbildung...
Zuletzt bearbeitet von cooldragon am 05.02.2005, 14:46, insgesamt einmal bearbeitet |
|
| Nach oben |
|
 |
ulie RC-Fan


Anmeldedatum: 03.06.2004 Beiträge: 1482
|
Verfasst am: 06.02.2005, 02:22 Titel: Re: Sammelthread: Karosserie-Höhe/Breite/Radstand Mini-Z/X-M |
|
|
BMW M3:
Höhe: 44mm
Breite Vorne: 70mm
Breite Hinten: 71mm
Radstand: 98mm
Gewicht weiß ich leider nicht.
Der M3 hat innen keine "Kante", habe also links und rechts ca. 1mm abgezogen.  _________________  |
|
| Nach oben |
|
 |
Sviny RC-Fan


Anmeldedatum: 16.02.2004 Beiträge: 1015
|
Verfasst am: 14.02.2005, 20:14 Titel: Re: Sammelthread: Karosserie-Höhe/Breite/Radstand Mini-Z/X-M |
|
|
Zwei sehr interessante Seite von Kyosho direkt zu diesem Thema:
ICh konnte die Scans nicht kleiner machen ,da sie sonst nicht mehr lesbar gewesen wären (ca 1MB) , deshalb nur als links
Seite 1
Seite 2
Gruß
Sviny _________________ ***There is a very thin line between hobby and mental illness***
***Aerodynamik ist etwas für Leute die keine Motoren bauen können - Enzo Ferrari*** |
|
| Nach oben |
|
 |
IceMan-85 RC-Enthusiast


Anmeldedatum: 24.06.2003 Beiträge: 2103
|
Verfasst am: 14.02.2005, 21:06 Titel: Re: Sammelthread: Karosserie-Höhe/Breite/Radstand Mini-Z/X-M |
|
|
Wo wir gerad dabei sind: kann mir einer sagen, ob der Honda NSX ( http://www.rcshop-online.de/p483.html ) für Mr01 geeignet ist, und wenn ja, welchen Radstand (kurz, mittel, lang) und welche reifenbreite der hat? _________________ <img> |
|
| Nach oben |
|
 |
VD RC-Fan


Anmeldedatum: 11.12.2002 Beiträge: 1885
|
Verfasst am: 14.02.2005, 21:21 Titel: Re: Sammelthread: Karosserie-Höhe/Breite/Radstand Mini-Z/X-M |
|
|
MR01
Chevy patrol
Höhe: 50 (mit lightbar)
Br. v.: 69
Br. h.: 71
Radst.: 95
Mr02
Merzedes SLR
Höhe: 50
Br. v.: 75
Br. h.: 75
Radst.: 98
iwaver
Evo
Höhe: 45
Br. v.: 67
Br. h.: 68
Radst.: 91 _________________
![]() |
|
| Nach oben |
|
 |
HaCo RC-Fan


Anmeldedatum: 17.10.2004 Beiträge: 394
|
Verfasst am: 16.02.2005, 17:50 Titel: Re: Sammelthread: Karosserie-Höhe/Breite/Radstand Mini-Z/X-M |
|
|
IW CLK: MR01-Lang
IW Skyline: MR-01 Lang _________________ <a><img></a>
<a>Mini-Z
News!</a> |
|
| Nach oben |
|
 |
noumenon RC-Enthusiast


Anmeldedatum: 02.11.2003 Beiträge: 2159
|
Verfasst am: 16.02.2005, 18:12 Titel: Re: Sammelthread: Karosserie-Höhe/Breite/Radstand Mini-Z/X-M |
|
|
achwas?
Gruß
Mike _________________ *g*...I am evil Mikey...
Zuletzt bearbeitet von noumenon am 16.02.2005, 18:12, insgesamt einmal bearbeitet |
|
| Nach oben |
|
 |
|